算法:2-3 查找树,红黑树,JDK 中 TreeMap 源码分析。其中 2-3 查找树,红黑树基本定义参考《算法 4》,TreeMap 源码解析参考《算法导论》中红黑树的分析。
2-3 查找树
定义
2-3 查找树的定义:一颗 2-3 查找树或为一颗空树,或由以下节点组成:
- 2 节点:含有一个键(及其对应的值)和两条链接,左链接指向的 2-3 树中的键都小于该节点,右链接指向的 2-3 树中的键都大于该节点
- 3 节点:含有两个键(及其对应的值)和三条链接,左链接指向的 2-3 树中的键都小于该节点,中链接指向的 2-3 树中的键都位于该节点的两个键之间,右链接指向的 2-3 树中的键都大于该节点
- 空链接:指向一颗空树的链接
一颗完美平衡的 2-3 查找树中,所有的空链接到根节点的距离都是相同的。通常我们在操作(构造、插入、删除)时,都会刻意保持 2-3 树的平衡性,有序性。

查找
2-3 树的查找算法和二叉查找树算法类似:先从根节点比较,递归向下查找;如果相等则命中,否则根据比较结果指向相应的链接递归查找;如果是空链接表示查找未命中。

插入
2-3 树中的插入操作非常复杂,细分为如下几种情形:
- 向 2 节点中插入新键
- 向 3 节点中插入新键,整棵树只包含这个 3 节点
- 向 3 节点中插入新键,其父节点为 2 节点
- 向 3 节点中插入新键,其父节点为 3 节点
参考 2、3 节点的定义,引入 4 节点。所有 3 节点的插入操作,会涉及到 4 节点及对应转换。插入新键后,需要保持 2-3 查找树的平衡性、有序性,针对以上情形逐个分析:
- 向 2 节点中插入新键
查找到合适位置后,将新键直接加入 2 节点,使其成为一个 3 节点,完全不影响平衡性。
- 向 3 节点中插入新键,整棵树只包含这个 3 节点
先将新键存入 3 节点使其变为一个 4 节点,而 4 节点很容易分解为一颗由 3 个 2 节点组成的 2-3 树。此时这棵树既是一颗二叉查找树,同时也是一颗完美平衡的 2-3 树。这个场景插入新键前树高为 0,插入后高度增长为 1 。
- 向 3 节点中插入新键,其父节点为 2 节点
先将新键存入 3 节点使其变为一个 4 节点,为了避免破坏平衡性,此时并不能直接将中键创建新节点,而是要将其移动到原来的父节点中。使父节点由 2 节点变为 3 节点。这次转换保持了树的平衡性和有序性。
- 向 3 节点中插入新键,其父节点为 3 节点
先将新键存入 3 节点使其变为一个 4 节点,分解中键插入到父节点中,而父节点也是一个 3 节点。同理递归向上分解中键,直到不需要分解或者到达根节点。
如果递归分解中键到根节点,此时根节点是一个 4 节点,参考第二种情形,直接将该节点分解为 3 个 2 节点,使得树高加 1 。此时树仍然是平衡、有序的。
4 节点分解及其性质
4 节点分解为 2-3 树一共包含 6 中情况。4 节点的分解变换都是局部的:除了相关的节点和链接之外不必修改或者检查树的其他部分。
这些局部变换也不会影响树的全局有序性和平衡性:任意空链接到根节点的路径长度都是相等的。

2-3 树构造
2-3 树构造过程是由下向上的,总是会经历 2 节点、 3 节点、 4 节点的转换。

小结
- 2-3 查找树中,插入和查找的时间复杂度必然不超过
logN,即使在最坏情况下,也能保持良好的平衡性 - 2-3 查找树因为涉及到多种节点,及类型转换,实现复杂
红黑树
定义
由于 2-3 树难于实现,所以使用一种名为红黑树的新数据结构来实现它。红黑树首先是一颗二叉查找树,它同时满足 5 条性质:
- 每个节点要么是红色要么就是黑色
- 根节点必须是黑色
- 每个空(
NIL)节点必须是黑色 - 如果节点是红色,它的两个子节点必须是黑色
- 树是完美黑色平衡的:即任意空
NIL节点到根节点路径上包含相同数量的黑色节点
红黑树实现有多种表达方式,但必须满足上面 5 条性质。红黑树目的是用标准的二叉查找树和红黑两种颜色来实现。《算法 4》中的实现有如下特点:
- 红链接:红色左链接连接的两个 2 节点,表示 2-3 树的 3 节点。其特点是:必须为左链接,且不能出现两条连续的红链接。
- 黑链接:表示 2-3 树中的 2 节点

我们将红黑树中的红链接画平,那么所有空节点到根节点的距离都是相同的(黑色平衡),我们将红链接节点合并,即为一颗 2-3 树。相反,如果将 2-3 树的 3 节点画成由红色左链接相连的两个 2 节点,即转换为一颗红黑树。所以可以认为红黑树既是一颗二叉查找树,又是一颗 2-3 树。

红黑树节点比二叉查找树多了一个字段 color ,用来表示和其父节点链接的颜色。
1 | private class Node { |
红黑树中红节点有多种表示方法,《算法 4》中采取的是 2-3 树表示法,也就是只有左红链接。而各种语言自带的
SDK中红黑树通常是使用 2-3-4 树表示法,这种表示法中红节点可以是左链接、也可以是右链接。还有些算法论文中红黑树使用 2-3-4 树表示时,使用两个连续的左红链接来表示 4 节点。使用不同表示法,插入、删除、修复等算法实现会有较大差异。《算法 4 》使用的是 2-3 树,而《算法导论》则使用的是 2-3-4 树;不管使用哪种树,红黑树的 5 条基本性质不变。


旋转
以《算法 4》中,使用左红链接表示 3 节点,来解释红黑树的旋转。在插入或删除等操作后,可能会出现红色右链接或者两条连续的红链接,出现这些情况时需要旋转红链接并修复。
- 左旋转
红色右链接旋转为左链接。实现思路是将两个节点中,较大的作为根节点。
- 右旋转
红色左链接旋转为右链接。实现思路是将两个节点中,较小的作为根节点。
不管是左旋转还是右旋转,我们都不会改变其在父节点链接的颜色。这条链接可能是红色,也可能是黑色,总之旋转不会破坏节点和父节点链接的颜色。如果出现两条连续的红链接,需要递归旋转,直到根节点。
1 | // 左旋转 |
颜色转换
如果一个节点的两个子节点都为红色(可以理解为 2-3 树中的 4 节点),需要对这三个节点做颜色转换:两个子节点的颜色由红变黑,当前节点的颜色要由黑变红。相当于 4 节点的中键建立新键,插入到父节点中,使父节点变为 3 节点。
根节点:颜色旋转可能会将根节点变为红色,违背了红黑树的定义。因此每次插入节点时,都会将根节点设置为黑色。
颜色转换和旋转操作一样,都属于局部转换,不会破坏整棵树的黑色平衡性。

1 | // flip the colors of a node and its two children |
插入
《算法 4》的插入分析:2-3 树的插入复杂且情形很多,每次插入新键都会形成 3 节点或者 4 节点,需要逐一对应分析:
- 向 2 节点插入新键
插入新键时,总是用红链接将新节点和它的父节点相连(即产生一个 3 节点)。如果新节点是父节点的左链接,则直接形成 3 节点;如果新节点是父节点的右链接,形成的 3 节点颜色不对,需要左旋转修复。
- 向 3 节点插入新键,整棵树只包含这个 3 节点
3 节点中插入新键时,会产生 4 节点,此时必然涉及到 4 节点的分解,即颜色转换。向 3 节点中插入新键时有三种情况:新键小于树中的两个键,在两个键之间,或者大于两个键。插入后会出现红色右链接、连续两个红链接、两个子节点都为红链接的情形,需要对应做左右旋转及颜色转换。
- 向 3 节点插入新键,3 节点位于树中或底部
操作方式和整个树为 3 节点类似,但是会使得红链接在树中向上传递。使用递归的方式处理这条红链接,直到遇到 2 节点或者根节点。

根据以上分析,插入新键小结如下:
- 新键节点总是红色
- 如果右子节点是红色而左子节点是黑色,则将该节点左旋转
- 如果左子节点是红色,且它的左子节点也是红色,即连续两条红链接,则将该节点右旋转
- 如果左右两个子节点都是红色,进行颜色转换
- 不管是那种情形的插入,插入新节点后,必须将根节点置为黑色
1 | public void put(Key key, Value val) { |
构造轨迹
根据上面插入新键的思路,得到的红黑树是一颗接近完美平衡的二叉查找树。如下示例为同一组键值对,按照不同顺序构建的红黑树。

查找
红黑树的查找算法和二叉查找树算法完全一致。
1 | public Value get(Key key) { |
删除及有序性
《算法 4》中并没有详细分析红黑树的删除,删除这个过程非常复杂,本文在 TreeMap 源码分析中详细介绍删除过程。
JDK 中的红黑树 TreeMap
java.util.TreeMap.java 是 JDK 中红黑树的实现,并且 java.util.HashMap.java 使用拉链法解决冲突时,链表个数超过 8 个会自动转换为红黑树。
节点
TreeMap 是使用 2-3-4 树的思路来实现红黑树的,参考了《算法导论》的伪代码来实现。如下示例将红节点“拉平”后,为一颗完美平衡的 2-3-4 树。

新建节点默认为黑色(但是插入修复时,总是会先将新节点设置为红色),节点中有三条链接分别指向:左子树、右子树、父节点。
1 | private static final boolean RED = false; |
旋转
2-3 树和 2-3-4 树旋转的概念是一样的,都是红色节点的左右旋。
1 | private void rotateLeft(Entry<K,V> p) { |
前驱和后继
- 前驱:小于当前节点的最大节点
- 后继:大于当前节点的最小节点
换句话说,在红黑树排序中,前驱为当前节点的前一个,后继为当前节点的后一个。如下为后继节点图示:

在看红黑树的文章时,网上经常出现一个结论:前驱或者后继节点最多包含一个子节点。这个结论并不准确!比如:当前节点为叶子节点或者只包含一个子节点时,则其前驱或者后继最多能包含两个节点。
示例:当前节点为叶子节点 30 ,其前驱为 21 包含一个子节点,后继为 35 包含两个子节点;当前节点为 45 ,只包含一个子节点,其前驱为 35 包含两个子节点,后继为 50 不包含子节点。
所以这个结论需要有一个前提条件才是正确的:当前节点有两个子节点时,其前驱或者后继最多只有一个子节点。
1 | /** |
插入
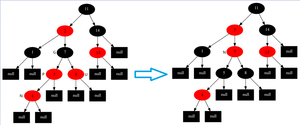
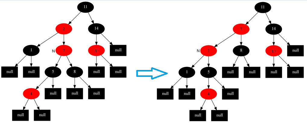
先循环查找新键插入的合适位置,插入后修复整棵树的平衡性。哪些节点需要修复?同时满足下面两条:
- 当前节点为红节点(修复时,新插入的节点总是设置为红色,也就是实际上新建节点默认是红色)
- 当前节点的父节点也为红节点
也就是说:如果出现上下连续两个红节点,则需要修复。修复分为三种情况:
- 叔叔结点(祖父结点的另一个子结点)是红色
修复方案:颜色转换,红色上移!父节点和叔叔节点变黑,祖父节点变为红色。祖父节点作为当前节点循环修复!
颜色:父节点和叔叔节点变黑,祖父节点变为红色。
旋转:不做旋转。
- 叔叔节点是黑色,当前结点是其父结点的右子
修复方案:父节点作为当前节点左旋。
颜色:不改变颜色。
旋转:父节点变成兄弟节点。
- 叔叔节点是黑色,当前结点是其父结点的左子
也就是:当前节点,父节点,祖父节点同为左边一条线或者右边一条线
修复方案:父节点变为黑色,祖父节点变为红色,并且祖父节点右旋。
颜色:父节点变为黑色,祖父节点变为红色。
旋转:祖父节点变为叔叔节点。
图示中:N表示新建节点或当前节点;P表示父节点;G表示祖父节点。
小结:
- 插入修复,主要参考的是父节点和叔叔节点的颜色
- 情形一祖父节点循环修复;情形二和情形三顺序执行后退出
- 修复的最后一步是确保根节点为黑色
- 上面三种情况都会有对称情形,请看下面代码。也就说实际上是有 6 中情形,因为对称只需要分析三种情形
- 修复所做的旋转不会超过 2 次
如下为红黑树插入动态图,动图生成网址, 插入顺序为 12, 1, 9, 2, 0, 11, 7, 19, 4, 15, 18, 5, 14, 13, 10, 16, 6, 3, 8, 17 :
1 | // 循环遍历找到新键插入的合适位置 |
删除节点
大致思路:找到被删节点 –> 找到替换节点 –> 删除或者修复
- 找被删节点:如果被删节点有两个子节点,复制后继节点(或者前驱)到被删节点(仅拷贝键值对,被删节点的三条链接和颜色保持不变),并使用其后继节点(或者前驱)作为新的被删节点
- 找替换节点:如果被删节点左子节点不为空,则用左子节点作为替换节点;否则用右子节点作为替换节点
如果替换节点不为空,则先删除再修复替换节点;如果替换节点为空(即被删节点为叶子节点),则先修复被删节点,再删除被删节点:
- 删除:被删除节点的左右父三条链接都置空,使用替换节点替换到被删节点的位置。除了修改替换节点的父链接,替换节点的颜色等其他信息全部保留
- 修复:被修复节点如果是黑色且不为根节点,需要变色和旋转;否则直接将被修复节点置黑结束修复。修复节点可能是替换节点(删除节点和替换节点都为黑色时,即连续两个黑色节点),也可能是被删节点(被删节点为黑色叶子节点,即黑叶子)。
被删节点的特点:
- 被删节点最多只包含一个子节点
分析如下:因为是二叉查找树,所以被删节点可能为叶子节点、只包含一个子节点、有两个子节点。而当被删节点有两个子节点时,需要使用前驱或者后继复制到被删节点位置,并将前驱或者后继作为新的被删节点。而被删节点有两个子节点时,其前驱或者后继(在其左右子树中)必定最多只会包含一个子节点。替换节点则为这个唯一的子节点或者为空节点。 - 被删节点为黑色才进入修复
如果被删节点是红色(表示是 3 节点或 4 节点),则直接删除该节点,并用替换节点替换后结束。如果被删节点是黑色(表示是 2 节点),删除后会导致左右不平衡,则进入修复流程。被修复节点可能是被删节点或者替换节点。
被修复节点的特点:
- 可能是被删节点或替换节点
- 颜色可红可黑:如果是被删节点必为黑色;如果是替换节点,可红可黑
修复节点
节点的假设:
被删除的节点为 X,其替换节点(孩子节点)为 N,大部分学习资料上,在讲删除后修复时,都是将 X 节点省略掉了,直接使用 N 节点替代了 X 节点的位置。不管是修复被删节点还是修复替换节点,本文使用 R 表示被修复节点。
而修复时,被修复节点 R 的父节点为 P,兄弟节点为 S;S 的左子节点为 SL,右子节点为 SR。

修复中需要变色和旋转的四种情形细分,图示中白色表示任意颜色,黑色表示黑节点,红色表示红节点:
- 情形一:兄弟节点是红色的
修复方案:父节点和兄弟节点颜色互换,父节点旋转。
颜色:父节点变为红色,兄弟节点变为黑色。
旋转:向左或者向右旋转父节点,将兄弟节点旋转成祖父节点。
- 情形二:兄弟节点是黑色的,而且其两个子节点也是黑色的
修复方案:兄弟节点设置为红色,并将父节点作为被修复节点从情形一开始循环修复。
颜色:仅改变兄弟节点颜色,设置为红色。
旋转:不做任何旋转。
- 情形三:兄弟节点是黑色的,其左子节点是红色的,右子节点是黑色的
修复方案:兄弟节点和兄左子节点颜色互换,兄弟节点右旋。
颜色:兄弟节点变为红色,兄弟子节点由红变黑。
旋转:向右旋转兄弟节点,也就是将兄子节点旋转成兄弟节点。
- 情形四:兄弟节点是黑色的,其右子节点是红色的
修复方案:兄弟节点的右子节点设置为黑色,兄弟节点和父节点颜色互换,父节点左旋。
颜色:兄子节点由红变黑,父节点不管是什么颜色都和兄弟节点颜色互换,父节点变成黑色。
旋转:父节点旋转,也就是将兄弟节点旋转成父节点。
小结:
- 不管修复前节点是什么颜色,修复完后必须将被修复节点设置为黑色
- 上面四种情形顺序执行,只有情形二结束时从父节点开始重新循环修复,情形四结束时退出循环
- 上面的左右旋转、兄弟左右子节点颜色,因为存在对称关系,所以实际存在 8 种情形
- 修复所做的旋转不会超过 3 次
如下为红黑树删除动态图,动图生成网址,删除顺序为 12, 1, 9, 2, 0, 11, 7, 19, 4, 15, 18, 5, 14, 13, 10, 16, 6, 3, 8, 17,删除后使用前驱作为替换节点:
删除和修复源码
1 | private void deleteEntry(Entry<K,V> p) { |
小结
红黑树的插入、删除等算法都比较复杂,但是其带有的优点足以学习并使用它:
- 红黑树是接近完美平衡的二叉查找树
- 红黑树的查找,插入,删除等操作,最坏情况下的时间复杂度都能达到
O(logN)
其他
- v_JULY_v: 红黑树插入删除全图解 这篇文章在“删除”图示中,删除 12,1 两个节点使用的是前驱作为替换节点,而其他节点使用后继作为替换节点
- 红黑树的删除依然是使用
case N大法来分析的,很容易忘记。后期需要找到一种更好的理解方式来学习删除
参考文档
- 《算法:第四版》 第 3 章
- 《算法导论》 第 13 章:红黑树
- 红黑树动画演示
- wiki 红黑树
- Left-Leaning Red-Black Trees, Dagstuhl Workshop on Data Structures, Wadern, Germany, February, 2008.
- v_JULY_v: 彻底明白红黑树
- v_JULY_v: 教你透彻了解红黑树
- v_JULY_v: 红黑树插入删除全图解
- 平衡查找树之红黑树
- CLR: Introduction to Algorithms 算法导论
- 红黑树画图工具
- 红黑树详细分析
- TreeMap 源码分析
- 从2-3-4树到红黑树
- 通过2-3-4树理解红黑树
- 史上最清晰的红黑树讲解